World Journal of Medical Research Volume No 8

Research Open Access

Lanthanide Complexes of the Mesogenic Schiff-base, N,N’-di-(4’-octadecyloxybenzoate)salicylidene-l’’,3’’-diamino-2’’-propanol Synthesis and Structural Studies

*Sanyucta Kumari

  • Submitted: Sunday, March 16, 2014
  • Accepted: ; Monday, March 24, 2014
  • Published: Monday, March 24, 2014

This is an Open Access article distributed under the terms of the Creative Commons Attribution License ((http://creativecommons.org/licenses/by/3.0)which permits unrestricted use, distribution, and reproduction in any medium, provided the original work is properly cited

Abstract

A mesogenic Schiff-base, N,N’-di-(4’-octyloxybenzoate)salicylidene-l’’,3’’-diamino-2’’-propanol (H2L5) was synthesized and its structure studied by elemental analyses and mass, NMR and IR spectra and ligated to some LnIII metal ions that yielded mesogenic (N / SmA) LnIII complexes of the general composition, [Ln(L5H2)3(NO3)](NO3)2, where Ln=La, Pr, Nd, Sm, Eu, Gd, Tb, Dy and Ho. Among the metal complexes, only that of LaIII is found to be mesogenic. with smectic-X and nematic phases. The IR and NMR spectral data imply a bi-dentate bonding of the Schiff-base in its zwitterionic form (as L5H2) to the LnIII ions through two phenolate oxygens, rendering the overall geometry around LnIII to eight-coordinated polyhedron, possibly distorted Square Antiprism.

Keywords

Mesogenic Transition metal complexes, Zwiterionic, Distorted Square Antiprism, NMR & IR spectra.

Introduction

In general, coordination complexes either melt or decompose upon heating. By careful design of the ligands, it is possible to obtain complexes displaying a so- called mesphase (an anisotrpic liquid), in which the molecular order is in between that of the crystalline state and the isotrpic liquid [1]. A major distinction between metallomesogens and most organic mesogens is the greater tendency in the former type to exhibit intermolecular dative coordination in the solid state [2,3]. It was reported [4,5] that non-mesogenic ligands react with various

lanthanide salts to give mesogenic complexes forming thermotropic hexagonal columnar phases. The design of lanthanide- containing liquid crystals [3] is rather difficult because their high coordination numbers seem to be incompatible with the structural anisotropy that is necessary to exhibit liquid crystalline behaviour. Nitrate is often chosen to be the counter-ion because it can coordinate in a bidentate fashion, allowing the lanthanide ion to easily obtain a high coordination number. As a part of our investigation [6,10] on systematic structural and spectroscopic studies of 3d and 4f metal complexes of a series of mesogenic organic Schiff-bases, we report here, synthesis and spectroscopic studies of some mesogenic LnIII complexes of mesogenic Schiff-base, N,N’-di-(4’-octadecyloxybenzoate)salicylidene-l’’,3’’-diamino-2’’-propanol (H2L5)

Material and Method

All reagents were purchased from commercial sources and used as received: 1-bromooctadecane, 2,4-dihydroxybenzaldehyde, N,N’-dicyclohexylcarbodiimide (DCC), N,N-di methylaminopyridine (DMAP) and 1,3-diamino-2’’propanol - are from Sigma-Aldrich, USA; all Ln(NO)3.xH2O are from Indian Rare Earths Ltd. and KOH from Merck. The solvents received were dried using standard methods [11] when required.

Synthesis and analysis

Preparation of 4-octadecyloxybenzoic acid 

Solutions of 4-hydroxybenzoic acid (11.05 g, 80 mmol) in dry ethanol (150 mL) and of KOH (8.97 g, 160 mmol) in dry ethanol (50 mL) were magnetically stirred with simultaneous drop-wise addition of 1-bromooctadecane (10.00 mL, 80 mmol). The reaction mixture was refluxed for _14 h under dry atmosphere and allowed to come to room temperature. The solid alkoxy potassium salt thus obtained was separated out by filtration under suction and treated with dilute HCl until the pH of the reaction mixture reached to _2. The crude solid white product was filtered off, washed thoroughly with water and recrystallized successively from solutions of glacial acetic acid and toluene. Yield: 11.65 g (70%).

Preparation of 4-octadecyloxy (4’-formyl-3’-hydroxy)- benzoate 

Solutions of 4-octadecyloxy benzoic acid (10.40 g, 50 mmol in 50 mL), 2,4-dihydroxybenzaldehyde (6.90 g, 50 mmol in50 mL), DCC (11.35 g, 55 mmol in 100 mL) in dry chloroform along with solid DMAP (0.3 g, 2.5 mmol as a catalyst) were magnetically stirred at room temperature for _12 h. The byproduct (dicyclohexyl urea) was filtered off under suction and the solvent was removed on rotavapor. The crude product was recrystallized from hot solution of ethanol and purified by column chromatography over SiO2 by eluting with a mixture of n-hexane and chloroform (v/v, 1:1); evaporation of this eluent yielded the ester, 2, in the form of a white solid. Yield: 10.17 g (62%).

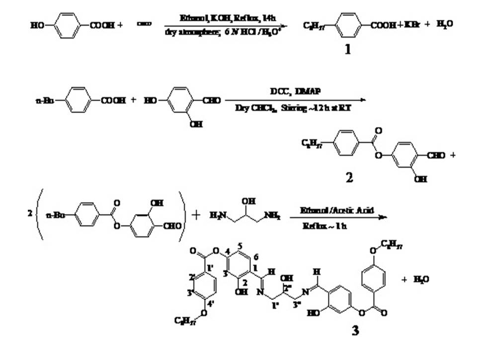
NN,N’-di-(4’octayloxybenzoate)salicylidene-l’’,3’’-diamino-2’’-propanol (H2L5), 3 (scheme. 1) was synthesized from the precursor materials, 1 and 2, as reported earlier [7,9].

Scheme-1: Synthetic steps involved in the synthesis of 1 (p-octyloxybenzoic acid), 2 (4-octyloxy-(4’-formyl-3’-hydroxy)benzoate) and 3 N,N’-di-(4’-octadecyloxy benzoate)salicylidene-l’’,3’’-diamino-2’’-propanol (H2L5)

[Ln (L5H2)3(NO3)](NO3)2: (LnIII = La, Pr, Nd, Sm, Eu, Gd, Tb, Dy and Ho) complexes were prepared by refluxing together solutions of the ligand, H2L5(3.23 g, 3.0 mmol in 30 mL dichloromethane) and the appropriate metal nitrate (1.0 mmol, in 20 mL ethanol) for ~ 2h at 40 0C. The reaction mixture was left over night in the flask closed with guard tube. The solid complex that separated out in each case was filtered under suction and washed repeatedly with cold ethanol and dried over fused CaCl2.

N, N’-di-(4’-octadecyloxybenzoate) salicylidene-l’’, 3’’-diamino-2’’-propanol (H2L5)

Synthesis 

The ligand, N,N’-di-(4’-octyloxybenzoate)salicylidene-l’’,3’’-diamino-2’’-propanol (H2L5) was prepared by refluxing together absolute ethanolic solutions of 4-octadecyloxy-(4’-formyl-3’-hydroxy)benzoate (20.40 g, 40 mmol, in 100 mL) and l1,3-diamino-2’’propanol (1.80 g, 20 mmol in 10 mL) for ~1 h in presence of a few drops of acetic acid left over night in the flask closed with guard tube. The micro-crystalline product, 3, was suction-filtered, thoroughly washed with cold ethanol and recrystallized from a solution of absolute ethanol / chloroform (v/v, 1/1) and dried at room temperature. Yield: 14.42 g (67%) as a yellow coloured solid; m.p. 170 0C. 1H NMR: (300.40 MHz; CDCl3; Me4Si at 25 °C, J (Hz), ppm) δ= 0.88(t, 3JH-H = 6.6, 3H, CH3), 1.84-1.26(m, 32H, CH2), 3.86-3.70(m, 1H, H2”), 3.91-3.89(d, 3JH-H = 4.2, 1H, H1”/3”), 4.04(t, 3JH-H = 6.3, 2H, H1’’’),4.28(s, 1H, CH-OH),6.77-6.74(d, 3JH-H = 9.0 Hz,1H, H5), 6.82(s, 1H, H3), 6.98-6.95(d, 3JH-H = 9.0, 1H, H3’ ), 7.31-7.29(d, 3JH-H = 6.0, 1H, H6), 8.13-8.11(d, 3JH-H = 6.0, 1H, H2’), 8.41(s, 1H, N=CH), 13.46(br s, 1H, Ph-OH); 13C{1H} NMR: (75.45 MHz; CDCl3; Me4Si at 25 °C, ppm) δ=166.80 (-COO), 164.45(-C4’), 163.70(-C2), 162.95(-NCH), 154.58(-C4), 132.57(-C6), 132.37(-C2’), 121.27(-C1’), 116.49(-C1), 114.36(-C5), 112.70(-C3’), 110.63(-C3), 70.40(-C2’’), 68.38(-C1’’’), 62.86(-C1’’), FAB Mass: The molecular ion (m/e, 1076; 72% intensity) generates simultaneously two fragments, M1, M1’, (m/e, fragment, % intensity): M1: 373, C18H37OC6H4CºO+, 85%; M1’ : 121, HOC6H4CºO+, 100%; IR (KBr, cm-1): 3530br n(O-H)phenol, 1736vs n>C=O), 1632s n(C=N), 1167s n(C-O)phenolic; C67H98N2O9 (1075.50): Calcd. C 74.82, H 9.18, N 2.60; found C 74.78, H 9.14, N 2.56.

Synthesis of the LaIII Complex, [La(L5H2)3(NO3)](NO3)2:

Anhydrous solutions of N,N’-di-(4’-octadecyloxybenzoate)salicylidene-l’’,3’’-diamino-2’’-propanol (3.23 g, 3 mmol in 30 mL dichloromethane) and of La(NO3)3.6H2O (0.43, 1 mmol in 20 mL ethanol) were refluxed for ~ 2h and the reaction mixture left over-night in the reaction flask. The crude solid complex, was filtered off under suction, washed repeatedly with ethanol, recrystallised from the solution of chloroform/ethanol and dried over fused CaCl2. Yield: 3.55 g (62 %); as a yellow coloured solid; m.p. 230 0C (decompose); 1H NMR: (300.40 MHz; CDCl3; Me4Si at 25 °C, J (Hz), ppm) 0.87(t, 3JH-H = 5.7, 3H, CH3), 1.87-1.22(m, 32H, CH2), 3.99-3.87(m, 1H, H2”), 4.06(t, 3JH-H = 6.3, 2H, H1’’’), 6.90-6.87(d, 3JH-H = 8.4 Hz,1H, H5), 6.98(s, 1H, H3), 7.62-7.59(d, 3JH-H = 8.7, 1H, H3’ ), 7.98-7.95(d, 3JH-H = 7.2, 1H, H6), 8.12-8.10(d, 3JH-H = 7.5, 1H, H2’), 9.87(s, 1H, N=CH), 11.24(br s, 1H, N+ H); 13C{1H} NMR: (75.45 MHz; CDCl3; Me4Si at 25 °C, ppm) δ=166.95 (-COO), 163.92(-C4’), 163.21(-C2), 195.5(-NCH), 157.93(-C4), 132.48(-C6), 131.56(-C2’), 122.30(-C1’), 118.59(-C1), 114.19(-C5), 114.07(-C3’), 110.90(-C3), 68.42(-C2’’), 68.21(-C1’’’), 51.83(-C1’’), IR (KBr, cm-1): n(O-H)phenol- absent, 3416br n(O-H), 1728vs n(>C=O), 1657s n(C=N), 1157s n(C-O)phenolic; LaC201H294N9O36 (3551.43): Calcd. C 67.98, H 8.34, N 3.55, La 3.91; found C 67.94, H 8.36, N 3.57, La 3.89.

Synthesis of the GdIII Complex, [Gd(L5H2)3(NO3)](NO3)2:

Yield: 3.64 g (59%) as a cream coloured solid; m.p. 210 0C(decompose); IR (KBr, cm-1): n(O-H)phenol- absent, 3416br n(O-H), 1734vs n(>C=O), 1655s n(C=N), 1149s n(C-O)phenolic; Gd C201H294N9O36 (3569.77): Calcd. C 67.63, H 8.30, N 3.53, Gd 4.41; found C 67.65, H 8.29, N 3.51, Gd 4.39.

Synthesis of the HoIII Complex, [Ho(L5H2)3(NO3)](NO3)2:

Yield: 3.58 g (60%) as a yellow coloured solid; m.p. 190 0C(decompose); IR (KBr, cm-1): n(O-H)phenol- absent, 3451br n(O-H), 1730vs n(>C=O), 1653s n(C=N), 1153s n(C-O)phenolic; Ho C201H294N9O36 (3577.45): Calcd. C 67.48, H 8.28, N 3.52, Ho 4.61; found C 67.49, H 8.26, N 3.50, Ho 4.59.

Physical measurements

The 1H and 13C NMR spectra were recorded on a JEOL AL-300 MHz FT-NMR multinuclear spectrometer; C, H, and N contents were micro analyzed on an Elemental Vario EL III Carlo Erba 1108 analyzer. Infrared spectra were recorded on a JASCO FT/IR (model-5300) spectrophotometer in the 4000-400 cm-1 region. The mass spectra were recorded on a JEOL SX-102 FAB mass spectrometers. The UV-VIS spectra were recorded on a Shimadzu spectrophotometer, model, Pharmaspec, UV 1700. Magnetic susceptibility measurements were made at room temperature on a Cahn-Faraday balance.

Results and Discussion

Magnetic and Spectral investigation The mesogenic Schiff-base ligand (H2L5) yielded yellow coloured LnIII complexes. The parent ligand as well as the metal complexes are soluble in DMF and DMSO (expect ligand soluble in chloroform and dichloromethane) but are insoluble in water, methanol, ethanol and acetonitrile. In all the metal complexes under discussion, it is the non-deprotonated species of the ligand that has been found to coordinate to the metal ion and the nitrate ions counter balance the positive charge of the LnIII ion(s); the nitrate groups were found to be present both within the coordination sphere as well as outside the sphere; the number of the ionic species was implied by the molar conductance data (154-160 ohm-1 cm2/mole) measured in 10-3 M solutions of DMF of the complexes which imply 2:1 electrolytic behaviour [14].

Of the meff values (at R.T.) of the present LnIII com¬plexes (2.11, 6.86, 1.27, 1.88, 4.84, 7.63, 8.91 and 7.92 B.M. respectively where Ln = Pr, Nd, Sm, Eu, Gd, Tb, Dy, and Ho respectively), those have been found to be slightly lower / lower than the reported van Vleck values which may be on account of weak metal-metal interactions (antiferromagnetism) [15,17].

The electronic spectra (qualitative spectra in solution state in a mixed solvent of CHCl3 and DMSO (3:1 v/v) in the 200-1100 nm region) of only the PrIII, NdIII, SmIII and DyIII complexes were recorded. All the present complexes show considerable red shifts in the λmax values as compared to the aqua ion [18] presumably due to Nephelauxetic effect [19]. Various bonding parameters [Table 1], viz., Nephe1auxetic ratio (β), bonding parameter (b1/2), Sinha's parameter (%δ) and covalency angular overlap parameter (η), calculated by the procedures as reported in literature [20], suggest weak covalent nature of the metal-ligand bonds.

Table-1 Electronic Spectral data of various metal complexes of the Schiff- base Ligand, H2L5

PrIII

NdIII

Transitions / Bonding parameters

lmax (cm-1) aq. Ion

lmax (cm-1) Complex

Transitions / Bonding parameters

lmax (cm-1) aq. Ion

lmax (cm-1) Complex

1G4 ! 3H4

9900

9885

4F3/2! 4I 9/2

11450

11185

1D2*

16850

16666

4F5/2, 2H9/2

12500

12515

3P0

20800

20242

4S3/2, 4F7/2

13500

13386

 

 

 

4F9/2

14800

14492

 

 

 

2G7/2*

17400

17152

 

 

 

4G9/2

19500

-

 

 

 

2P3/2

26300

25252

β

 

0.984

 

 

0.981

b1/2

 

0.084

 

 

0.097

% δ

 

1.420

 

 

1.936

η

 

0.007

 

 

0.010

 SmIII

DyIII

6F9/2! 6H5/2

9200

9141

6H5/2! 6H15/2

10200

10000

6F11/2

10500

10460

6F5/2

12400

12360

4G5/2

17900

17605

6F3/2

13200

12626

4M15/2

20800

20790

4F7/2

25800

25510

6P7/2*

26750

25252

4K17/2

26400

-

β

 

0.978

 

 

0.982

b1/2

 

0.104

 

 

0.095

% δ

 

2.249

 

 

1.832

η

 

0.011

 

 

0.009

The structures and purity of the Schiff-base ligand and of the metal complexes were studied by IR and NMR spectroscopy and elemental analyses. The structure of the ligand was further confirmed by FAB Mass spectrum, the mass spectral features of H2L5 were characterized by the molecular ion peak corresponding to the m/e value of 853, which matches with the molecular weight of 853.05 of H2L5 of the molecular formula, C50H64N2O10. The 100% intensity of the base peak is as expected for the fragment (C8H17O-(C6H4)-CºO+, m/e = 233) on the basis of its predominant aromatic character; the other major fragment peak (m/e = 121) is due to HO (C6H4)-CºO+. A comparison of the 1H and 13C{1H} NMR spectral data of the ligand with that of the LaIII complex shows the absence of the phenolic-OH signal. From the composition of the LaIII complex, [La2(L5H2)3(NO3)4](NO3)2, it appears that the ligand (H2L5) acts as a neutral ligand; however, the 1H NMR spectrum of the compound implies that the phenolic protons are shifted to the two uncoordinated imino nitrogens, which then get intramolecularly hydrogen-bonded to the metal-bound phenolate oxygens to give rise to the zwitter-ionic structure (=N+–H• • •O–). The macrocycle under this condition is designated as L3H2 [21]. We found that the signal corresponding to the imine hydrogen, -CH-N, was in the LaIII complex (d, 8.53) when compared with that of the Schiff base ligand (d, 8.33); further, a new signal, characteristic of –N+H resonance, appears in the spectrum of the LaIII complex at 14.03 d while the parent ligand does not show any such signal. These observations confirm that the Schiff base is present in the metal complex in a zwitterionic form, with the phenolic oxygen deprotonated and the imine nitrogen protonated (scheme. 2)

Scheme 2: Depiction of migration of phenolic protons to imine nitrogens of the ligand, H2L5, during the formation of zwitter- ion

Binnemans et al. [22], while reporting their work on rare earth-containing magnetic liquid crystals of the formula, [Ln(LH)3(NO3)3], where LH = 4-alkoxy-N-alkyl-2-hydroxy benzaldimine, found that selective irradiation of the signal at 12.29d removed the broadening of the imine signal, thereby inferring that the signal does not correspond to the proton of the -OH group, but to the proton of the -N+H group. Further, by variable temperature 1H NMR spectra, they showed that at 293 K, the value of the coupling constant 3J = 10.3 Hz pointed to a trans-disposition of the –CH= and =N+H- protons and an increase in the temperature lead to a broadening of the signal of the -CH=N proton in the ligand from 4.1 Hz at 293 K to 13.7 Hz at 333 K. This provides sufficient experimental evidence for showing the formation of the zwitter ion. The single crystal structure solved by the same authors was also in agreement with the zwitter-ionic form of the ligand within the complexes.

The 13C{1H} NMR spectra show a significant shift of the -NCH signal from d, 163.62 (in the case of H2L5) to d, 189.28 (in the case of the LaIII complex). Similar shifts were observed in the case of the carbon atoms directly attached to the bonding atoms (phenolate carbons) while those for the other carbons were of lesser magnitude. Thus, the NMR spectral data imply bonding through the two phenolate oxygens of the ligand in the zwitter ionic form to the LaIII metal ion.

The broad absorption centered on 3443 cm-1 in the IR spectrum of the parent ligand, characteristic of n(O-H)phenolic [23] may be understood to involve considerable amount of H-bonding (presumably intramolecularly bonded to the ortho >C=N group) under the experimental conditions; this band totally disappears in the spectra of the complexes due to the shifting of the phenolic proton to the azomethine nitrogen atom resulting in the formation of zwitter ion. The weak/medium intensity bands centered on 1151 cm-1 are assignable to n(C-O)phenolic. The strong intensity band occurring at 1633 cm-1, assignable [24] to n(C=N) absorption of the azomethine moiety, undergoes a hypsochromic shift in all the complexes on account of zwitter-ion formation. Thus, the process of complexation of the ligand with LnIII ions resulted in shifting of the phenolic protons to the two uncoordinated imino nitrogens, which then get intramolecularly hydrogen-bonded to the metal-bound phenolate oxygens to give rise to the zwitterionic structure, =N+–H• • •O−. Similar zwitter-ionic behaviour has been reported by others for acyclic Schiff base lanthanide complexes [22,25]. The formation of a zwitter-ionic form can be rationalized by the tendency of the lanthanide ions to coordinate to negatively charged ligands with a preference for O-donor ligands. By transfer of the phenolic proton to the imine nitrogen, the phenolic oxygen becomes negatively charged and can coordinate to the lanthanide ion. The initial evidence for zwitter-ionic formation was obtained from 1H NMR spectra while

further evidence was given by infrared spectroscopy and, more particularly, by the band frequencies of the n(C=N) vibration. The shift to higher wave numbers in the complexes compared to the corresponding values in the ligands indicates that the nitrogen atom is not involved in the complex formation and that a C-N+ group is present [26]. Further, all the complexes are characterized by a strong band due to n(C=N) at 1657(24) cm−1 and a weak broad band at about 3049 cm−1 due to the hydrogen bonded N+–H • • •O- vibration of the protonated imine [21]. Thus, the ligands coordinate to the metal ion via the negatively charged phenolic oxygen only; no binding occurs between the lanthanide ion and the imine nitrogen. The LnIII complexes also exhibit three additional bands around 1488–1473, 1258–1255, and 847-844 cm-1, which can be assigned to the vibrational modes of the coordinated (C2v) nitrate groups [27]. The magnitude of splitting at higher energies, 231–215 cm-1, suggests that the coordinated nitrate groups act as bidentate ligands [27,28]. The additional bands observed at 1385–1383 cm-1 are due to the non-coordinated nitrate present in the complexes. At this juncture, it may be recalled that M:L (2:3) ratios of the complexes with in this series, viz., [Ln2(L5H2)3(NO3)4](NO3)2 and where LnIII = La, Pr, Nd, Sm, Eu Gd, Tb, Dy and Ho with two different modes of nitrate group (ionic as well as bidentate-coordinate) in both the types. Distorted mono-capped octahedron with C.N. = 7 have been proposed for all the series of the complexes. The Schiff-base ligand itself is a liquid crystal, displaying nematic (N) phase (Crys • 87.02 • N • 99.39 • I; I • 95.32 • N • 80.51 • Crys) [Table 2].The mesophases were identified by the defect textures observed by polarized hot-stage microscopy. Typical for the nematic phase is the Schlieren texture with two and four brushes. The nematic phase separates from the isotropic liquid as droplets. Among the LnIII complexes of H2L5, only LaIII and GdIII complexes were found to be mesogenic where the former showed both the nematic phases while the latter displayed smectic-A (SmA) mesophase [Fig 1].

Table. 2 Mesomorphism of the mesogenic Schiff base ligand, H2L5 and its LnIII complexes

Compounds

Transition Temperature (°C)

H2L5 Crys · 92.42 · SmX · 117.65 · SmA· 132.13 · N · 163.54 · I · 147.33 · N · 142.31 · SmX · 90.63 · Crys
[La2(L5H2)3(NO3)4](NO3)2 Crys · 184.72 · N · 226.09 · Idec
Abbreviations: Crys = Crystalline phase, SmA = Smectic A phase, SmX = Smectic X phase, N = Nematic phase, I = Isotropic liquid, dec. = decomposition
Fig.1. Optical Textures of ligand (a) SmX Phase at 109 °C; (b) SmA Phase at 128 °C;

Conclusions

The mesogenic Schiff-base, N,N’-di-(4’-octadecyloxybenzoate)salicylidene-l’’,3’’-diamino-2’’-propanol , (H2L5) coordinates to LnIII as a neutral bidentate species, to yield mesogenic(N/SmA) [LaIII & GdIII] / non-mesogenic, distorted mono-capped octahedral complexes; [Ln2(L5H2)3(NO3)4](NO3)2 where LnIII = La, Pr, Nd, Sm, Eu, Gd, Tb, Dy and Ho. In all cases, the Zwiterionic-species of the neutral bidentate ligand, H2L5, coordinates to the LnIII metal ion through two phenolate oxygens.

Acknowledgements

The authors wish to acknowledge the recording of FAB Mass spectra and elemental analyses at the Central Drug Research Institute, Lucknow. One of the authors, Sanyucta Kumari, gratefully acknowledges the financial grant received from the Council of Scientific & Industrial Research, New Delhi [vide grant No. 9/13(233)/2009-EMR-I dated 08-05-2009].

References

[1].Giroud-Godquin, A. M. and Maitlis, P. M., Angew. Chem. int. Ed. Engl., 30(1991)375.

[2].V. Patroniak, M. Kubicki, A. Mondry, J. Lisowski and W. Radecka- Paryzek, Dalton Trans., (2004)3295.[[pubmed]

[3].W. Radecka-Paryzek, M. Kaczmarek, V. Patroniak and I. Pospieszna- Markiewicz, Inorg. Chem. Comm., 6(2003)26.

[4].K. Binnemans and K. Lodewyckx, Angew. Chem., 113(2001)248-250.[[pubmed]

[5].Małgorzata T. Kaczmarek, Izabela Pospieszna-Markiewicz, Maciej Kubicki and Wanda Radecka-Paryzek, Inorg. Chem. Comm., 7(2004)1247–1249.

[6].N.V.S. Rao, M. K. Paul, T. R. Rao and A. Prasad, Liquid Crystals, 29(2002)1243.

[7].Angad Kumar Singh, Sanyucta Kumari, K. Ravi Kumar, B. Sridhar and T. R. Rao, Polyhedron, 27(2008)181-186.

[8].Angad Kumar Singh, Sanyucta Kumari, K. Ravi Kumar, B. Sridhar and T. R. Rao, Polyhedron, 27(2008)1937-1941.

[9].Angad Kumar Singh, Sanyucta Kumari, T. N. Guru Row, Jai Prakash, K. Ravi Kumar, B. Sridhar and T. R. Rao, Polyhedron, 27(2008)3710-3716.

[10].Angad Kumar Singh, Sanyucta Kumari, K. Ravi Kumar, B. Sridhar, Miroslaw Wrzecion, Jerzy Mroziński and T. R. Rao, Polyhedron, 28(2009)2599–2604.

[11].Sanyucta Kumari, Angad Kumar Singh, K. Ravi Kumar, B. Sridhar and T. R. Rao, Inorg. Chim. Acta, 362(2009)4205–4211.

[12].Sanyucta Kumari, Angad Kumar Singh and T. R. Rao, Materials Science and Engineering: C, 29(2009)2454-2458.

[13]A.Weisberger and F.S.Praskver, Organic solvents, International publishers Inc., New York (1956) p. 1263.

[14].W. J. Geary, Coord. Chem. Rev., 7(1971)81-122.

[15]W. Plass and G. Fries, Z. Anorg. Allg. Chem., 623 (1997)1205-1207.

[16].P. Costes, F. Dahan, A. Dupuis, S. Lagrave and J. P. Laurent, Inorg. Chem., 37(1998)153-155.[[pubmed]

[17].J. P. Costes, A. Dupuis and J. P. Laurent, Inorg. Chim. Acta, 268(1998)125-130.

[18].R. Reisfe1d and C.K. Jorgensen, Lasers and Excited States of Rare Earths, Springer-Verlag, Berlin, (1977).

[19]. T. Carnall, P. R. Fields and K. Rajnak, J. Chern. Phys., 49(1968)4424-4442.

[20]. R. Rao and P. A. Kumar, Synth. Rect. Inorg. Met.-Org.Chem., 25(1995)1011-1026.

[21]. Bag, U. Flörke and K. Nag, Dalton Trans., (2006)3236-3248.[[pubmed]

[22].Binnemans, Y. G. Galyametdinov, R. Van Deun, D. W. Bruce, S. R. Collison, A. P. Polishchuk, I. Bikechantaev, W. Hasse, A. V. Prosvirin, L. Tinchurina, I. Litvinov, A. Gubajdullin, A. Rakhamatullin, K. Uytterhoeven and L. VanMeervelt, J. Am. Chem. Soc., 122(2000)4335-4344.

[23].R. M. Silverstein and F. X. Webster, Spectrometric Identification of organic Compounds, John-wiley & sons, Inc. Newyork, 6th ed., (2002) p.82, 83, 87-88, 90-91.

[24].N. B. Colthup, L. H. Daly, and S. E. Wiberley, Introduction to Infrared and Raman Spectroscopy,3rd Ed., Academic Press, New York, (1990).

[25].K. Binnemans, D. W. Bruce, S. R. Collison, R. Van Deun, R. Galyametdinov and Y. G. Martin, Philos. Trans. R. Soc. London, Ser. A, 357(1999)3063-3077.

[26].K. Binnemans, R. Van Deun, Christiane G. Walrand, W. Haase, D. W. Bruce, L. Malykhina, and Y. G. Galyametdinov, Materials Science and Engineering C, 18(2001)247-254.

[27].B. Keshavana, P. G. Chandrashekaraa and N. M. Made Gowdab, Journal of Molecular Structure, 553(2000)193-197.

[28].J. Nawrocka and V. Patroniak, Journal of Alloys and Compounds, 380(2004)159-162.